一般创伤的休克发生率为10%~15%[1],战创伤休克的发生率可高达25%~30%。其中32.6%~59.5%的伤员死于失血性休克。研究者近年针对常规环境战创伤休克早期救治提出了许多新的原则,包括低压复苏、延迟复苏等[2-3];同时针对战创伤休克所致器官功能损伤也建立了多种综合防治措施[4],提高了战创伤休克救治水平。针对急进高原环境合并创伤休克,本实验室前期提出了快速降低海拔高度等防治措施[5]。但目前针对高原合并战创伤休克早期救治缺乏有效的防治措施。
低氧寒冷是高原环境的显著特点,低氧可导致肺、脑等器官功能损伤。线粒体是细胞内供能、细胞氧化应激以及钙稳态调控的重要细胞器,也是对缺氧最为敏感的细胞器。本实验室相关研究发现,低氧刺激可引起线粒体形态变化,表现为线粒体过度分裂[6]。当线粒体过度分裂时,线粒体功能呈现明显障碍。研究[7]表明抑制线粒体过度分裂对心血管疾病等有重要的保护作用。线粒体分裂抑制剂(mitochondrial division inhibitor-1,Mdivi-1)是一种动力相关蛋白1(dynamin-related protein 1, Drp1)活性抑制剂,对Drp1所致线粒体分裂有显著的抑制作用[8]。有研究报道Mdivi-1可通过抑制线粒体分裂对神经性疾病发挥明显治疗作用[9]。但Mdivi-1能否通过抑制线粒体分裂发挥对高原战创伤休克的纠正作用,目前未见报道。
为此,本研究通过对急进高原大鼠行脾动脉离断方法复制高原战创伤休克模型,观察Mdivi-1对大鼠失血量、输液量、血流动力学指标、器官功能以及大鼠存活的影响。为高原战创伤休克的救治提供重要的依据。
1 材料与方法 1.1 实验动物及试剂成年SD大鼠,雌雄各半,体质量(210.3±7.9)g,由陆军特色医学中心实验动物中心提供。动物许可证号SCXK(渝)20170002。
Mdivi-1购自Tocris公司(英国,规格50 mg),使用时溶于二甲基亚砜进行配制;乳酸林格氏液(Lactate Ringer’s,LR)购自四川科伦药业股份有限公司(中国);肝素钠注射液购自常州千红生化制药股份有限公司(中国),规格2 mL∶12 500 U;氯化钠注射液购自四川科伦药业股份有限公司(中国)。
1.2 模型制备将大鼠从平原(重庆)空运至高原(拉萨,海拔3 600 m),放置72 h,正常进食饮水。实验前禁食、自由饮水,以3%的戊巴比妥钠30 mg/kg腹腔内注射麻醉,仰卧固定动物,左股动、静脉分别插管用于采血、平均动脉血压(mean arterial pressure,MAP)监测和输液。插管完成后各注入100 U肝素钠,稳定10 min。从腹中线剖腹,暴露脾脏,从脾动脉分支之间横行切断脾实质,并切断一条脾动脉分支,使血自由流至腹腔内,关闭腹腔。当MAP降至40 mmHg时即为造模成功。
1.3 实验设计及指标观察实验设计为两部分(图 1):大鼠非控制性出血性休克模型成功后,进行低压复苏,观察Mdivi-1对低压维持时间的影响。在低压复苏过程中,将Mdivi-1分别按0.1、0.5 mg/kg加入5 mL的LR中进行低压复苏,根据前期本实验室的结果,复苏压力维持在50~60 mmHg,5 mL含Mdivi-1的LR输注完毕后,采用LR继续以维持低压复苏,整个实验过程不结扎血管止血,观察大鼠血压维持情况、液体输注量、失血量以及动物最后的存活时间变化。根据第一部分实验结果,在低压复苏维持1 h后彻底止血,结扎脾脏动脉,清理腹腔内积血,计算失血量。在确定治疗阶段用LR继续复苏至2倍失血量。实验分为假手术组(只开腹,不作手术处理)、休克组、LR对照组(乳酸林格氏液)、0.1和0.5 mg/kg Mdivi-1组。在彻底复苏后观察各组大鼠输液量,经皮氧分压,肺脑含水量,心、肝和肾脏损伤指标的变化以及大鼠存活时间。
|
| 图 1 实验方案 |
1.4 指标参数测定 1.4.1 肺脑含水量
在观察时相点,分别取大鼠全脑和右肺,用吸水纸清理表面的血迹,标记称量;放置于37℃烤箱中72 h,重新称量。含水量计算公式为:含水量=(湿质量-干质量)/湿质量。
1.4.2 心、肝和肾脏损伤指标测定根据实验设计,在大鼠彻底复苏后2 h,取大鼠全血采用生化分析仪(DX800,Beckman Coulter,美国)测定心损指标肌钙蛋白Ⅰ(cardiac troponin Ⅰ,cTnI)、肝脏功能损伤指标[谷草转氨酶(aspartate aminotransferase,AST),谷丙转氨酶(alanine aminotransferase,ALT)]和肾脏功能损伤指标[尿素氮(urea nitrogen,Urea),肌酐(creatinine,Crea)]。
1.5 统计学分析采用SPSS 13.0统计软件分析,实验数据以x±s表示,血压、失血量、输液量、器官功能等参数采用单因素或双因素方差分析。大鼠存活时间采用Kaplan Meier法和Log-rank检验。检验水准α=0.05。
2 结果 2.1 Mdivi-1对高原非控制性出血休克大鼠失血量、血压及存活时间的影响 2.1.1 MAP大鼠在高原放置72 h后,血压水平为110~120 mmHg。经脾动脉离断自由出血致MAP降至40 mmHg,模型成功后,采用LR或Mdivi-1复苏,但不进行止血处理。结果发现单纯LR复苏能将MAP维持在50~60 mmHg约1 h,1 h后MAP开始下降,2 h后MAP只能维持在20 mmHg左右。0.1和0.5 mg/kg Mdivi-1输注能较好地维持MAP在50~60 mmHg约3 h (图 2A)。
|
| a: P < 0.01,与LR对照组比较;1:休克组;2:LR对照组;3:0.1 mg/kg Mdivi-1组;4: 0.5 mg/kg Mdivi-1组 图 2 Mdivi-1对高原非控制性出血休克大鼠血压(A)、失血量(B)、输液量(C)的影响(n=8,x±s) |
2.1.2 失血量和输液量
大鼠在非控制性出血性休克后不复苏,其失血量占全身总血量的65%~70%;采用LR进行低压复苏,尽管可短时升高大鼠的血压,但大鼠失血量和液体输注量显著增加,失血量达110%~120%,大鼠液体输注量为22~25 mL;Mdivi-1输注可较好维持血压,减少失血量和输液量,0.5 mg/kg Mdivi-1组的失血量仅为全身总血量的45%~50%,液体输注总量为5 mL (图 2B、C)。
2.1.3 存活时间和存活率由于单纯LR输注绝大部分大鼠在2 h之内死亡,平均存活时间只在90 min左右;0.1和0.5 mg/kg Mdivi-1输注后大鼠存活时间明显延长,一半的大鼠存活时间超过3 h;0.5 mg/kg Mdivi-1组大鼠平均存活时间在160 min左右(图 3)。
|
| a: P < 0.01,与假手术组比较;b: P < 0.05,c: P < 0.01,与LR对照组比较;1:假手术组;2:休克组;3:LR对照组;4:0.1 mg/kg Mdivi-1组;5: 0.5 mg/kg Mdivi-1组 图 3 Mdivi-1对高原非控制性出血休克大鼠存活时间(A)和存活率(B)的影响(n=8,x±s) |
2.2 Mdivi-1对高原非控制性出血休克大鼠止血后复苏效果的影响 2.2.1 MAP、失血量和输液量
高原创伤失血休克大鼠采用LR低压复苏1 h后,彻底结扎脾动脉止血、复苏,2 h后其MAP只能维持在60 mmHg左右。采用0.1或0.5 mg/kg Mdivi-1输注后,MAP明显升高,0.5 mg/kg Mdivi-1输注后2 h,MAP可维持在80 mmHg以上(图 4A)。LR低压复苏1 h,失血量在55%~58%,液体输注量13~15 mL;Mdivi-1输注可明显减少失血量和输液量,0.5 mg/kg Mdivi-1组的失血量为42%~45%,液体输注量约5 mL (图 4B、C)。
|
| a: P < 0.01,与LR对照组比较;1:休克组;2:LR对照组;3:0.1 mg/kg Mdivi-1组;4: 0.5 mg/kg Mdivi-1组 图 4 Mdivi-1对高原非控制性出血休克大鼠彻底止血复苏后血压(A)、失血量(B)、输液量(C)的影响(n=16,x±s) |
2.2.2 经皮氧分压
正常情况下,大鼠腹部皮肤的经皮氧分压为28±5 mmHg。在高原创伤休克后大鼠经皮氧分压明显降低(< 5 mmHg);采用LR或联合Mdivi-1复苏后,可显著改善大鼠经皮氧分压,但Mdivi-1效果明显优于LR。LR对照组在彻底止血复苏后经皮氧分压为10 mmHg左右,而0.5 mg/kg Mdivi-1彻底止血复苏后,大鼠经皮氧分压可达(19±3)mmHg (图 5A)。
|
|
低压复苏末为低压维持50~60 mmHg 1 h后结扎止血的时间点;彻底复苏末为结扎止血后彻底复苏结束后2 h点;1:假休克组;2:休克组;3:LR对照组;4:0.1 mg/kg Mdivi-1组;5: 0.5 mg/kg Mdivi-1组 a:P < 0.05,b: P < 0.01,与LR对照组比较 图 5 Mdivi-1对高原非控制性出血休克大鼠彻底止血复苏后经皮氧分压(A)和肺(B)脑(C)含水量的影响(n=8,x±s) |
2.2.3 肺脑含水量
正常情况下,大鼠肺和脑含水量分别为(77.4±5.0)%和(78.0±0.6)%。非控制性出血休克LR输注后,大鼠的肺、脑含水量均有所升高,分别达到(80.8±2.4)%、(80.0±1.2)%;与LR复苏相比,Mdivi-1复苏均可显著降低大鼠肺脑含水量,其中0.5 mg/kg Mdivi-1复苏后大鼠肺脑含水量为(78.1±0.8)%、(78.8±0.7)% (图 5B、C)。
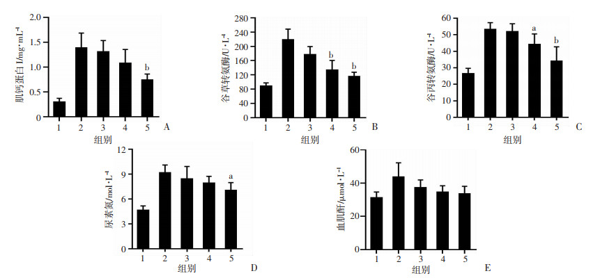
2.2.4 重要器官功能大鼠非控制性出血性休克后,呈现明显心脏、肝脏和肾脏器官功能损伤,表现为大鼠心肌损伤标志物cTnI,肝脏损伤标志物AST和ALT,肾脏损伤标志物Urea和Crea水平显著升高;单纯LR复苏对大鼠心脏、肝脏和肾脏功能无明显的保护作用;Mdivi-1输液对大鼠重要器官功能有明显的保护作用,尤以心、肝脏更为明显,可显著降低大鼠cTnI,AST和ALT水平(图 6)。
|
| A: 肌钙蛋白I;B: 谷草转氨酶;C: 谷丙转氨酶;D: 血尿素氮;E: 血肌酐;a:P < 0.05,b: P < 0.01,与LR对照组比较;1:假手术组;2:休克组;3:LR对照组;4:0.1 mg/kg Mdivi-1组;5: 0.5 mg/kg Mdivi-1组 图 6 Mdivi-1对高原非控制性出血休克大鼠彻底止血复苏后重要器官功能的影响(n=8,x±s) |
2.2.5 存活时间和存活率
在大鼠非控制性出血性休克后低压复苏1 h结扎止血,与不复苏相比,单纯LR输注可延长大鼠的存活时间,平均存活时间为(17.97+18.87)h,但24 h和72 h存活率仅分别为18.75%(3/16)和6.25%(1/16);Mdivi-1输注可显著延长大鼠存活时间,0.5 mg/kg Mdivi-1组大鼠平均存活时间为(49.56±25.37)h,24 h和72 h存活率分别为81.25%(13/16)和50% (8/16),见图 7。
|
| a: P < 0.01,与假手术组比较;b: P < 0.05,c: P < 0.01,与LR对照组比较 1:假手术组;2:休克组;3:LR对照组;4:0.1 mg/kg Mdivi-1组;5: 0.5 mg/kg Mdivi-1组 图 7 Mdivi-1对高原非控制性出血休克大鼠彻底止血复苏后存活时间(A)和存活率(B)的影响(n=16,x±s) |
3 讨论
战创伤休克的发生率和病死率很高,特别是高原环境下,战创伤休克后死亡率更高。目前针对战创伤休克彻底止血前提出了低压复苏和延迟复苏等新策略[10-11]。但针对高原环境战创伤休克,仅采用常规液体进行低压复苏能否满足救治的需求,是否有延长黄金救治时间窗和保护器官功能的措施,目前未见报道。本研究发现高原环境战创伤休克后,大鼠重要器官功能受损,组织氧分压以及肺脑含水量均有明显变化,单纯采用LR进行液体复苏,尽管可以一定程度升高血压,但对1 h黄金救治时间窗并未明显延长,并且对大鼠经皮氧分压、器官功能和肺脑含水量无明显改善作用。与LR相比,Mdivi-1可显著改善大鼠经皮氧分压、减轻器官功能损伤、降低肺脑含水量、减少大鼠失血量、延长大鼠黄金救治时间窗至3 h左右。研究为高原战创伤失血休克早期救治提供了全新的措施。
高原环境由于其低氧、低压以及高寒等可引起机体多种反应,其中较为严重时可出现肺水肿和脑水肿等,甚至死亡[12]。针对高原战创伤休克,以往本实验室进行了系列研究,发现高原战创伤休克与平原战创伤休克相比程度更重,易并发肺脑水肿,对液体耐受量显著降低。在此基础上提出了小容量液体复苏,高渗液体复苏等液体复苏原则与方案[5]。但以往研究表明,单纯液体如LR、羟乙基淀粉(hetastarch,HES)复苏,尽管可不同程度扩张血容量、提高血压,但无携氧功能,限制了其复苏效果[13]。由于高原环境主要特点为低氧,线粒体作为机体对缺氧最敏感、氧利用最多的细胞器,针对线粒体寻找高原战创伤休克新的防治措施对提高高原战创伤休克的救治具有重要意义。本研究发现Mdivi-1可延长黄金救治时间窗,保护器官功能,对高原战创伤休克有明显的保护作用。同时Mdivi-1显著降低了彻底止血前的失血量,降低了液体用量,能够较好的维持MAP在50~60 mmHg。
本研究发现Mdivi-1可显著改善高原创伤休克组织氧供,降低肺脑含水量,但目前其机制尚不清楚。研究表明,高原低氧等可明显损伤血管内皮细胞,导致其细胞间连接破坏或细胞死亡增加,这也是导致高原低氧肺脑水肿的重要机制。Mdivi-1可能通过保护线粒体功能防止高原休克所致内皮细胞损伤。研究表明,线粒体功能与细胞功能密切相关,一方面线粒体为细胞存活提供基本的能量需求[14],另一方面线粒体对细胞死亡有明显的调控,线粒体膜通透性转换孔(mitochondrial permeability transition pore, MPTP)可释放细胞色素C致细胞凋亡[15]。但Midvi-1具体如何减轻了高原战伤休克肺脑含水量有待进一步研究。
线粒体作为细胞内重要的能量供应站,对细胞钙稳态、细胞死亡等均有明显的调控作用[16]。正常情况下,线粒体处于不断分裂融合动态平衡状态,以保持线粒体正常的形态结构和数量的相对稳定,维持线粒体功能。通过线粒体分裂,一方面满足细胞对能量的需求,将一个线粒体分为两个线粒体,另一方面可通过分裂将部分功能损害的线粒体分裂出去,保留正常部分;通过线粒体融合将两个线粒体融合成一个,实现对线粒体的修复[17]。研究显示,细胞在受低氧、药物或细菌刺激后,会导致其线粒体形态的改变,其中线粒体过度分裂是最主要的表现[18]。其机制可能通过线粒体分裂蛋白Drp1活化而导致其向线粒体转位增加而增加线粒体分裂。本研究在以往发现低氧刺激可导致线粒体过度分裂基础上,发现Mdivi-1对高原战创伤休克具有重要的保护作用, 但其具体机制有待进一步研究。
综上所述,本研究发现Mdivi-1可显著延长大鼠黄金救治时间窗,减轻器官功能损伤、降低肺脑含水量、提高高原创伤休克大鼠的存活率,可为高原战创伤休克的早期救治提供新的措施。
| [1] |
LIU L M, TIAN K L, XUE M Y, et al. Small doses of arginine vasopressin in combination with norepinephrine "buy" time for definitive treatment for uncontrolled hemorrhagic shock in rats[J]. Shock, 2013, 40(5): 398-406. |
| [2] |
CHERKAS D. Traumatichemorrhagic shock: advances in fluid management[J]. Emerg Med Pract, 2011, 13(11): 1-19;quiz19-20. |
| [3] |
BOGERT J N, HARVIN J A, COTTON B A. Damage control resuscitation[J]. J Intensive Care Med, 2016, 31(3): 177-186. |
| [4] |
BOUGLÉ A, HARROIS A, DURANTEAU J. Resuscitative strategies in traumatic hemorrhagic shock[J]. Ann Intensive Care, 2013, 3(1): 1. |
| [5] |
ZHANG J, WU Y, PENG X Y, et al. The protective effect of a novel cross-linked hemoglobin-based oxygen carrier on hypoxia injury of acute mountain sickness in rabbits and goats[J]. Front Physiol, 2021, 12: 690190. |
| [6] |
DUAN C Y, WANG L, ZHANG J, et al. Mdivi-1 attenuates oxidative stress and exerts vascular protection in ischemic/hypoxic injury by a mechanism independent of Drp1 GTPase activity[J]. Redox Biol, 2020, 37: 101706. |
| [7] |
FORTE M, SCHIRONE L, AMERI P, et al. The role of mitochondrial dynamics in cardiovascular diseases[J]. Br J Pharmacol, 2021, 178(10): 2060-2076. |
| [8] |
KOCH B, TRAVEN A. Mdivi-1 and mitochondrial fission: recent insights from fungal pathogens[J]. Curr Genet, 2019, 65(4): 837-845. |
| [9] |
ZHANG Y G, RUI T Y, LUO C L, et al. Mdivi-1 alleviates brain damage and synaptic dysfunction after intracerebral hemorrhage in mice[J]. Exp Brain Res, 2021, 239(5): 1581-1593. |
| [10] |
刘良明. 创伤失血性休克早期救治规范解读[J]. 创伤外科杂志, 2017, 19(12): 884-887. LIU L M. Interpretation of the standard for early treatment of traumatic hemorrhagic shock[J]. J Trauma Surg, 2017, 19(12): 884-887. |
| [11] |
李涛, 胡平, 胡弋, 等. 院前适度低压复苏对严重创伤出血患者器官功能保护作用观察[J]. 创伤外科杂志, 2018, 20(8): 595-599. LI T, HU P, HU Y, et al. Effects of permissive hypotensive resuscitation during pre-hospital for severe traumatic patients[J]. J Trauma Surg, 2018, 20(8): 595-599. |
| [12] |
徐崇. 高海拔地区高压氧联合药物治疗急性高原肺水肿的临床效果分析[J]. 中外医学研究, 2018, 16(32): 17-18. XU C. Analysis of clinical efficacy of high altitude hyperbaric oxygen combined with drug therapy for acute high altitude pulmonary edema at high altitude[J]. Chin Foreign Med Res, 2018, 16(32): 17-18. |
| [13] |
ZHAO H L, ZHU Y, ZHANG J, et al. The beneficial effect of HES on vascular permeability and its relationship with endothelial glycocalyx and intercellular junction after hemorrhagic shock[J]. Front Pharmacol, 2020, 11: 597. |
| [14] |
PROTASONI M, ZEVIANI M. Mitochondrial structure and bioenergetics in normal and disease conditions[J]. Int J Mol Sci, 2021, 22(2): 586. |
| [15] |
黄艳平, 杨天华, 金植炎, 等. 线粒体通透性转换孔在内吗啡肽-1后处理减轻大鼠心肌缺血再灌注损伤中的作用[J]. 南方医科大学学报, 2018, 38(5): 547-553. HUANG Y P, YANG T H, JIN Z Y, et al. Role of mitochondrial permeability transition pore in mediating the effect of endomorphin-1 postconditioning against myocardial ischemia-reperfusion injury in rats[J]. J Southern Med Univ, 2018, 38(5): 547-553. |
| [16] |
SABOUNY R, SHUTT T E. Reciprocal regulation of mitochondrial fission and fusion[J]. Trends Biochem Sci, 2020, 45(7): 564-577. |
| [17] |
CHIU Y H, LIN S C A, KUO C H, et al. Molecular machinery and pathophysiology of mitochondrial dynamics[J]. Front Cell Dev Biol, 2021, 9: 743892. |
| [18] |
WU W X, LI W, CHEN H, et al. FUNDC1 is a novel mitochondrial-associated-membrane (MAM) protein required for hypoxia-induced mitochondrial fission and mitophagy[J]. Autophagy, 2016, 12(9): 1675-1676. |












